Сегодня сабвуфер — неотъемлемая часть любого домашнего кинотеатра. Впрочем, не только домашнего. В публичных кинотеатрах тоже стоят сабвуферы. Их задача с максимальной реалистичностью воспроизводить звуки выстрелов, взрывов, грохота проползающего по экрану танка или проплывающего в экранном холодном космическом пространстве межзвездного галактического имперского крейсера. Да, да, я знаю, что крейсеры в космическом пространстве проплывают бесшумно, но у Джорджа Лукаса, который снял потрясающую киноэпопею "Звездные войны" на этот счет совершенно другое мнение. И это правильное мнение, поскольку одно дело смотреть на безмолвный имперский крейсер, а другое — слышать и даже ощущать проход мощной машины. Да, про ощущать я не оговорился, ибо низкочастотные вибрации, создаваемые мощным сабвуфером ощущаются буквально всем телом.
Собственно, сам сабвуфер является мощным низкочаcтотным динамиком, подключенным к специальному сабвуферному каналу многоканальной системы усилителей. Сабвуферный канал при записи звуковой дорожки к фильму пишется отдельно, так что вся информация в нем содержащаяся — это исключительно о том, где и когда надо бахнуть и с какой силой. Но это в случае цифровой записи сигнала. При аналоговой записи-воспроизведении сигнал сабвуферного канала может выделяться из общего сигнала фонограммы при помощи специального Фильтра Низких Частот — ФНЧ.
В общем случае именно ФНЧ формирует сигнал сабвуферного канала и именно от его параметров зависит насколько мощно, сочно, четко будет бабахать сабвуфер. Разумеется, не только от ФНЧ, но и от акустического оформления самого сабвуфера зависит насколько высоко вы будете подпрыгивать в кресле от очередного киношного выстрела или взрыва, но сейчас мы рассмотрим именно ФНЧ.
Два самых главных параметра ФНЧ называются: частота среза и крутизна спада.
Начнем с первой.
Дело в том, что динамик сабвуфера большой, тяжелый, неповоротливый, чаще всего с огромным диффузором, который призван создавать большое звуковое давление, вдавливающее зрителя в кресло. Амплитуда колебаний этого диффузора должна быть достаточно велика, поэтому на сабвуфер подается очень приличная мощность от выходного усилителя. Если мы не отфильтруем ВЧ составляющие сигнала, подаваемого на динамик, то просто спалим его, ибо он физически не сможет так быстро двигаться, в результате чего катушка динамика перегреется и разрушится.
Таким образом, наш ФНЧ занимается тем, что просто отрезает от входного сигнала ненужные для сабвуфера куски частотного диапазона и на выходе оставляет только те, которые не угробят сабвуфер и будут эффективно им воспроизводиться.
Посмотрим на амплитудно-частотную характеристику ФНЧ (ура, первая картинка!):
Итак, частота среза, выражаясь человеческим языком — это та частота, за которой амплитуда выходного сигнала резко падает. Посмотрите на левую картинку — так должен выглядеть идеальный ФНЧ — до определенной частоты сигнал есть, после нее — сигнала нет. Но реальность, как обычно, несколько хуже. На правой картинке показана работа реального ФНЧ. Частота, на которой уровень выходного сигнала ослабляется на 3дБ называется частотой среза ФНЧ — Fср. на картинке. Как видно по правой картинке, реальный ФНЧ ослабляет сигнал за частотой среза не сразу, а постепенно и тут у нас есть возможность перейти ко второй основной характеристике ФНЧ — крутизне спада.
Общеизвестно, что погоня за идеальным — самая большая ошибка человечества. Тем не менее, человечество не перестает за ним гнаться, набивая по пути знатные шишки.
С ФНЧ такая же история. Как вы видите на картинке выше, у идеального ФНЧ АЧХ поворачивает на 90 градусов на частоте среза, то есть, ни одна капелька сигнала за частотой среза не появится на выходе ФНЧ. Это — идеальная крутизна спада ФНЧ.
У любого реального ФНЧ данная характеристика более пологая и никогда не станет идеальной, но может максимально к ней приблизиться.
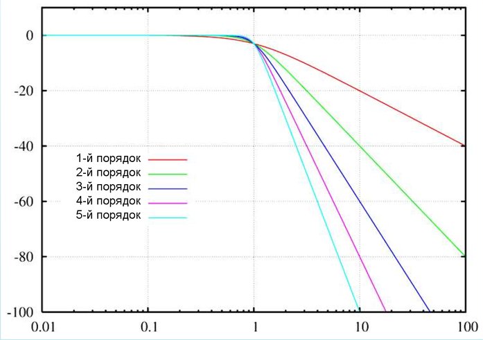
Посмотрим на второй рисунок — на нем отображены крутизна спада ФНЧ в зависимости от так называемого порядка ФНЧ — числа звеньев, из которых состоит фильтр.
Чем больше звеньев в ФНЧ, чем ближе его АЧХ к идеальной. Но тут надо заметить, что увеличение числа звеньев фильтра приводит к его схемотехническому усложнению и как следствие, увеличению количества электронных компонентов, из которых сделан фильтр, а следом и цены этого устройства. Помимо этого, разумеется, растут шум, искажения, уменьшается амплитуда выходного сигнала.
Простейшее звено ФНЧ выглядит следующим образом:
Это пассивный ФНЧ первого порядка. Включая такие звенья последовательно можно добиться весьма существенной крутизны спада. Но при этом, как уже отмечалось выше, существенно растут шумы и искажения в звуковом тракте. Более того, для согласования входного и выходного сопротивления такого фильтра необходимо на входе и выходе ФНЧ устанавливать буферные усилители. В противном случае сопротивление источника сигнала и сопротивление нагрузки фильтра будет существенно влиять на частоту среза.
Поэтому, чаще всего для построения ФНЧ используют схемы активного фильтра на операционных усилителях.
Вот, например, активный ФНЧ второго порядка:
Не смотря на простоту самого фильтра необходимо помнить о буферных усилителях, которые нужны и для этого типа ФНЧ. Да и к тому же, 2 порядок — это как-то маловато, а значит, нужно последовательное включение двух таких фильтров.
В общем, схема разрастется прилично.
Более того. Если вы только начинаете заниматься сабвуферами и всем, что с ними связано, непременно начнете читать профильные сайты и форумы, где обсуждаются те или иные способы построения ФНЧ. И тут выяснится, что помимо всего прочего есть фильтр Чебышева, фильтр Баттерворта, эллиптический фильтр, фильтр Саллена-Ки. И у каждого схемного решения есть свои плюсы и минусы. Честно говоря, закопаться можно запросто.
Видимо, поглядев на все это в древнерусской тоске, тайваньская компания PTC почесала в затылке и выпустила отличную микросхему — PT2351 – фильтр НЧ Саллена-Ки третьего порядка.
Микросхема в 8-выводном корпусе содержит в себе все элементы, необходимые для построения ФНЧ с очень приличными характеристиками.
Стерео сигнал от источника поступает на два буферных усилителя с высоким входным сопротивлениям. Сигнал смешивается и нормируется по уровню в смесителе, после чего поступает собственно на ФНЧ со встроенным выходным буферным каскадом (выходное сопротивление — всего 40 Ом), позволяющим подключать фильтр непосредственно к нагрузке без дополнительных плясок с буфером на ОУ.
Частота среза такого фильтра задается внешними конденсаторами.
На основе этой микросхемы был разработан набор для самостоятельной сборки NM0103 "ФНЧ для сабфувера".
Основные технические характеристики:
| Частота среза, Гц | 60(80) |
| Крутизна спада, дб/окт. | 18 |
| Коэффициент нелинейных искажений, % | 0,1 |
| Отношение сигнал/шум, дБ (невзвешенное | -82 |
| Коэффициент усиления, дБ | 10 |
| Максимальное выходное напряжение, В | 2,8 |
| Входное сопротивление, кОм | 100 |
| Напряжение питания, В | 12 |
| Потребляемый ток, мА | 10 |
Принципиальная схема:
Как видите, схема простейшая с очень небольшим количеством навесных компонентов.
Схема универсальная — благодаря встроенному стабилизатору напряжения VD1, R3, C6 этот ФНЧ может применяться как для построения автомобильного сабвуфера, так и для домашнего кинотеатра или музыкальных систем 2.1. Максимальное напряжение питания, которое можно подавать на фильтр — 20 Вольт. Впрочем, если увеличить резистор R3, то можно и больше.
Питание однополярное, что серьезно облегчает встраивание такого фильтра в уже имеющийся звуковой тракт.
Частота среза фильтра определяется емкостью конденсаторов C3, C7. В наборе есть два комплекта конденсаторов разной емкости для построение ФНЧ с частотой среза 60Гц или 80Гц.
АЧХ фильтра:
Ну, а если номиналы конденсаторов, входящих в набор вас по каким-то причинам не устроят, их можно выбрать из нижеследующей таблицы:
Часть номиналов конденсаторов получается нестандартной и составляется из двух конденсаторов стандартной емкости — номиналы указаны в скобках.
Из недостатков данной схемы по сравнению со схемами на ОУ можно отметить невозможность плавной регулировки частоты среза, а так же отсутствие регулировки фазы выходного сигнала. Но вот часто ли нужны такие регулировки?






